
PRODUCT
CONTACT US
If you need to consult products please call the hotline:
SALES EMAIL
sales@nccchina.cn
SERVICE LINK
400 809 5700
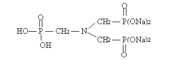
ATMP•Na4 is the neutral salt of ATMP It can inhibit the scale formation, calcium carbonate in particular, in water system. ATMP•Na4 can be used in circulating cool system in power plants, oil refinery plant and oilfield refill water system. ATMP•Na4 has good synergistic effects with other additives, in neutral to acidic condition, no ammonia smell is let off.