
PRODUCT
CONTACT US
If you need to consult products please call the hotline:
SALES EMAIL
sales@nccchina.cn
SERVICE LINK
400 809 5700
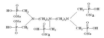
DTPMP•Na5 is an innocuous neutral product. It is used as corrosion and scale inhibitor in circulating cool water and boiler water. It can also serves as peroxides stabilizer for peroxides, chelating agent in textile dyeing and printing, dispersing agent in pigment, microelement carryingt agent in fertilizer, additive in concrete, etc. Moreover, DTPMP•Na5 also has a widely use in paper making, electroplate, cosmetic and so on.