
PRODUCT
CONTACT US
If you need to consult products please call the hotline:
SALES EMAIL
sales@nccchina.cn
SERVICE LINK
400 809 5700
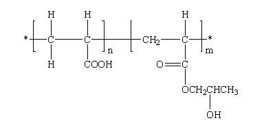
T-225 is copolymer of polyacrylic acid and hydroxypropyl acrylate. It has good scale inhibition and dispersion properties to calcium phosphate and calcium carbonate. It has good dispersion properties to ferric oxide sludge, clay and grease. T-225 can be used under high pH situation and has good compatibility with other organophosphines and BTA. T-225 can effectively withhold sediments of zinc salt and calcium phosphate scale. It has good scale inhibition and dispersion properties under high temperature and alkaline situations.